Logo

Fujitsu General Australia

Welcome
Login  Sign up
Home Solutions

How can we help you today?

Login or Signup to submit a new ticket
Check ticket status
1300364484
Solution home Fujitsu Staff (external) Technical information

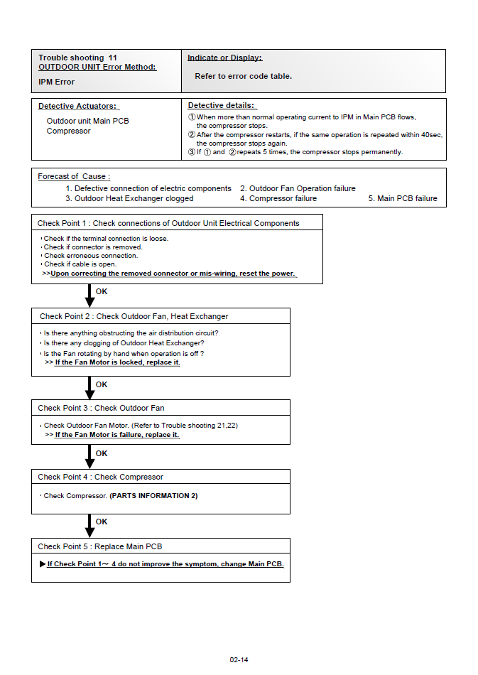
Service instructions for ARTG30/36/45/54LHTA AOTG30/36/45/54LATL Print

Modified on: Fri, 6 Apr, 2018 at 8:03 AM









Did you find it helpful? Yes No

Send feedback
Sorry we couldn't be helpful. Help us improve this article with your feedback.

Related Articles

    Home Solutions
    Article views count